АНАЛИЗ ВЛИЯНИЯ ВИДА И МАССОВОЙ ДОЛИ ЖМЫХОВЫХ ДОБАВОК НА АНТИОКСИДАНТНУЮ СПОСОБНОСТЬ ГАЛЕТ
АНАЛИЗ ВЛИЯНИЯ ВИДА И МАССОВОЙ ДОЛИ ЖМЫХОВЫХ ДОБАВОК НА АНТИОКСИДАНТНУЮ СПОСОБНОСТЬ ГАЛЕТ
Аннотация
Целью исследования было определение величины общей дисперсии результирующего показателя (антиоксидантная способность галет, ORAC) и разложение его на составные части для оценки степени влияния на него двух факторов: вида и массовой доли жмыха. Проведена оценка антиоксидантной способности галет с добавками четырёх видов жмыха (тыква, расторопша, кунжут, конопля) при использовании четырёх градаций массовой доли каждой добавки (50%, 40%, 30%, 20%) и применение двухфакторного дисперсионного анализа для расчёта общей вариабельности данных и значимости каждого из указанных факторов для результирующей функции (ORAC). Показано, что для повышения адаптогенной активности рассмотренного вида сухого печенья статистически значимым фактором является массовая доля жмыха, тогда как его вид не имеет достоверного влияния на результат.
1. Введение
Галеты представляют собой разновидность сухого плоского хрустящего печенья с длительным сроком хранения. Обычно их изготавливают из муки и воды и используют как замену хлебу в длительных походах, на производственных вахтах, при горных восхождениях, работе на глубине, в армейских пайках и т.д. В последнее время такие продукты стали всё чаще использоваться не только при профессионально обусловленных экстремальных видах деятельности, но и в обычной жизни как формы диетического питания и здорового перекуса для спортсменов, студентов, школьников, практикантов. Пресные галеты получили широкое распространение в связи с простотой изготовления, низким содержанием сахара и доступными способами обогащения пищевой матрицы биологически активными нутриентами. По составу и способу изготовления к галетам очень близки выпекаемые хрустящие хлебцы, основное отличие которых заключается в расширении компонентного набора за счёт замены муки пшеничной на овсяную, льняную, гречневую и другие виды , а также внесении дополнительных традиционных и нетрадиционных нутриентов. В данной работе обсуждается продукт, по способу производства сходный с группой «хлебцы хрустящие», изготовленный из ржаного измельчённого солода с добавкой молотого льна (пропорция 6:4), однако по реологическим свойствам (более плотный, упругий, менее хрупкий) более близкий к галетам, поэтому в дальнейшем обозначаемый как «галеты».
Повышение пищевой ценности продуктов за счёт добавок относится к наиболее устойчивым трендам пищевого производства. При этом пищевую ценность определяют не только расчётным путём, но и с помощью измеряемых параметров пищевой системы. В числе наиболее информативных параметров находится уровень суммарной антиоксидантной активности, отражающий функциональные свойства и адаптогенный потенциал продукта .
Для повышения пищевой ценности галет используют разнообразные виды добавок: створки зелёного горошка как источник пищевых волокон , соевый белок , папоротниковую пасту, овощные порошки из моркови и тыквы и прочие ингредиенты и меланжи, как правило, имеющие гидрофильную природу. В меньшей степени представлены гидрофобные добавки, чаще всего семена подсолнечника, льна, кунжута и тыквы.
Классификация галет включает три основные группы: простые, улучшенные с жиром, диетические с жиром и сахаром. Обогащение жировым компонентом высоко востребовано потребителями, поскольку именно жировой компонент формирует флейвор (гармоничное вкусовое ощущение). Внесение липидных компонентов является эффективным способом повышения антиоксидантного потенциала готового продукта, т.к. жирорастворимые витамины Е (токоферол), А (каротин), Q10 (убихинон) обладают высокой антирадикальной активностью и термостабильностью, поэтому в отличие от водорастворимых витаминов не разрушаются при выпекании.
Источником пищевых жиров являются не только цельные семена и отжатое масло, но и жмых как экономичный и качественный вторичный ресурс, образуемый в процессе масличного производства и содержащий 7…15% остаточного масла и 32…40% протеина . Перечень сырья для получения масла из семян растений быстро расширяется, помимо традиционных источников (подсолнечник, кедровые орехи, кунжут, конопля, лён и др.) в него входят растения с подтверждёнными адаптогенными свойствами, например, расторопша (Silybum marianum (L.) Gaertn., сем. Астровые), в масле семян которой установлено наибольшее суммарное содержание антиоксидантов, включая эффективный гепатопротектор силимар . Таким образом, обогащение галет липидными компонентами является актуальным и практически значимым направлением, развитие которого связано со скринингом обогащающих добавок и выбором их эффективных доз. Для этого необходимо сопоставить значимость двух факторов для результирующей функции (антиоксидантная активность): фактор 1 — вид добавки, фактор 2 — массовая доля внесения добавки в пищевую систему галет.
Целью работы было определение величины общей дисперсии результирующего показатели (антиоксидантная активность галет) и разложение его на составные части для оценки степени влияния на него двух факторов, вида и массовой доли жмыха.
Задачи работы включали:
1) оценку антиоксидантной активности галет с добавками четырёх видов жмыха при использовании четырёх градаций массовой доли каждой добавки (50%, 40%, 30%, 20%);
2) применение двухфакторного дисперсионного анализа для расчёта общей вариабельности данных и значимости каждого из указанных факторов для результирующей функции (антиоксидантная активность).
2. Методы и принципы исследования

Материалы исследования:
а - галеты без добавок; б - кунжутный; в - расторопша; г - конопляный; д - тыквенный
где S — светосумма квантов ХЛ за время наблюдения; величина нормирована по контролю.
В качестве метода исследования был применён двухфакторный дисперсионный анализ (Two-Way ANOVA). Это один из углублённых методов аналитического исследования для выявления причинно-следственных связей, структурных элементов и закономерностей, лежащих в основе проблемы. В отличие от простого описания, аналитическое исследование даёт основу для принятия обоснованных управленческих решений. Анализ Two-Way ANOVA — это метод математической статистики, используемый для сравнения средних значений трех и более групп, или выборок, по каждому из двух факторов. Метод разработан Р. Фишером и в настоящее время широко применяется в бизнесе, менеджменте качества продукции и в научных исследованиях. Этим способом проверяют, значимы ли межвыборочные различия. Инструментом оценки является анализ дисперсии, представляющей собой отношение межгрупповой дисперсии к внутригрупповой. В качестве нулевой гипотезы принимается, что средние всех групп равны. Альтернативная гипотеза состоит в том, что хотя бы одно среднее отличается от других. С помощью two-way ANOVA анализируется одновременно влияние двух различных фактор факторов. Если р-значение (р-value) в результате ANOVA находится ниже порогового уровня значимости (обычно 0,05), то Н0 отклоняется. Это означает наличие статистически значимых различий и указывает на существенную роль какого-либо фактора . При обработке данных использовали приложение MicrosoftExel для создания и обработки электронных таблиц. Верификацию данных осуществляли методом статистического анализа с использованием критерия Фишера.
3. Результаты и их обсуждение
Результаты измерения антиоксидантной активности представлены в комбинационной таблице 1.
Таблица 1 - Комбинационная таблица первичных данных и результатов первичной статистической обработки
№ п/п | Фактор 1 | Фактор 2 массовая доля | ΣS1 | S1² | |||
вид жмыха | 50 | 40 | 30 | 20 | по строкам | ||
1 | 2 | 3 | 4 | 5 | 6 | 7 | 8 |
1 | тыква | 70,3 | 51,1 | 50,1 | 89,5 | 261 | 68121 |
2 | кунжут | 86,1 | 90,7 | 79,1 | 72,6 | 328,5 | 107912,3 |
3 | расторопша | 90,6 | 87,8 | 88,9 | 71,6 | 338,9 | 114853,2 |
4 | конопля | 87,1 | 92,4 | 88,9 | 74,4 | 342,8 | 117511,8 |
5 | ΣS2 по столбцам | 334,1 | 322 | 307 | 308,1 | 1271,2 | 408398,3 |
6 | S2² | 111622,8 | 103684 | 94249 | 94925,61 | 404481,42 |
|
7 | М2 | 83,53 | 80,50 | 76,75 | 77,03 |
|
|
Следующий этап обработки данных включал следующие действия: минимизацию значений всех вариант выборки, суммирование результатов по строкам, столбцам и возведение их в квадрат. Минимизация значений проводится путём вычитания из каждой варианты условного числа А, составляющего целую часть наименьшего значения по всему объёму выборки. В рассматриваемом массиве значений (N=16) наименьшим числом являлось 50,1, откуда А=50.
Результаты вычисления суммы наименьших квадратов приведены в таблице 2.
Таблица 2 - Результаты вычисления суммы квадратов минимизированных данных
| Фактор 1 вид жмыха | Минимизированные данные | Σ(S1–А) по строке | |||
1 | 2 | 3 | 4 | 5 | 6 | 7 |
1 | тыква | 20,3 | 1,1 | 0,1 | 39,5 | 61 |
2 | кунжут | 36,1 | 40,7 | 29,1 | 22,6 | 128,5 |
3 | расторопша | 40,6 | 37,8 | 38,9 | 21,6 | 138,9 |
4 | конопля | 37,1 | 42,4 | 38,9 | 24,4 | 142,8 |
5 | Σ (S2–А) по столбцу | 134,1 | 122 | 107 | 108,1 | 471,2 |
6 | тыква | 412,09 | 1,21 | 0,01 | 1560,25 | 1973,56 |
7 | кунжут | 1303,21 | 1656,49 | 846,81 | 510,76 | 4317,27 |
8 | расторопша | 1648,36 | 1428,84 | 1513,21 | 466,56 | 5056,97 |
9 | конопля | 1376,41 | 1797,76 | 1513,21 | 595,36 | 5282,74 |
10 | Σ(S2–А)2 по столбцу | 4740,07 | 4884,3 | 3873,24 | 3132,93 | 16630,5 |
Примечание: А=50
Для вычисления суммы квадратов по общей дисперсии Θ требовалось рассчитать квадрат значения 471,2 (строка 5, столбец 7), представляющего собой сумму минимизированных данных: (471,2)2 = 222029,4.
Дисперсионный анализ представляет компоненты общей дисперсии формулой (2):
где Θ — сумма квадратов отклонений по общему варьированию;
Θ1 — сумма квадратов отклонений по градациям первого фактора;
Θ2 — сумма квадратов отклонений по градациям второго фактора;
Θ3 — сумма квадратов отклонений по остаточной дисперсии.
Выполнение всех действий, указанных в комбинационной таблице, приводит к получению значения суммы всех вариант Σх = 1271,2.
В столбце 6 приведены суммы вариант по строкам (S1), а в строке 5 — суммы вариант по столбцам (S2). В столбце 7 (S12) и строке 6 эти суммы возведены в квадрат, затем квадраты суммированы (обозначены ячейками с заливкой).
При многозначных вариантах сумма квадратов отклонений по общему варьированию вычисляется с уменьшением всех вариант на условное число А (в данном случае примем А=50). В строках 8…11 показаны расчётные значения за вычетом А, полученная разность возведена в квадрат и внесена в строки 13…16.
Сумма квадратов отклонений по общей вариабельности данных равна (формула 3):
Для расчёта суммы квадратов отклонений по фактору 1 используются данные из табл. 1:
ΣS12 = 408398,3; Σx2= (1271,2)2 = 1615949; градации первого фактора n1 = 4; градации второго фактора n2 = 4; N = n1× n1 =16. Отсюда (формула 4);
Для расчёта суммы квадратов отклонений по фактору 2 используется формула 5:
Сумма квадратов отклонений остаточной дисперсии определяется из равенства (формула 6):
Итоговые данные и результаты двухфакторного дисперсионного анализа приведены в таблице 2.
Таблица 3 - Результаты двухфакторного дисперсионного анализа
Вид дисперсии | Сумма квадратичных отклонений | Степень свободы ν= N–1 =15 | Дисперсия σ²=Q/ν | Критерий Фишера F, значение | ||
расчётное | Табличное F* Р=0,95 | |||||
1 | 2 | 3 | 4 | 5 | 6 | |
Общая Θ | 2753,7 | 15 | 183,6 | 1,08 | 2,64 | |
Θ 1 | 1102,735 | 3 | 367,6 | 2,17 | 3,86 | ν1=3, ν2=9 |
Θ 2 | 123,515 | 3 | 41,2 | 4,12 | 3,86 | ν1=3, ν2=9 |
Θ 0 остаточная | 1527,45 | 9 | 169,7 |
|
| |
Сравнение расчётных значений критерия Фишера с табличными величинами показывает, что на антиоксидантную активность целевого продукта (галеты) не оказывает значимого влияния вид жмыха, внесенного в пищевую систему, поскольку расчётное значение F=2,17 оказалось меньше табличного F*=3,86. В то же время количество добавки оказывает достоверно значимое влияние на показатель качества галет, поскольку расчётное значение F=4,12 превышает табличное F*=3,86. Таким образом, судя по полученным результатам, независимо от вида вторичного ресурса масличного производства технологически значимым показателем для адаптогенной активности рассмотренного вида сухого печенья является массовая доля жмыха.
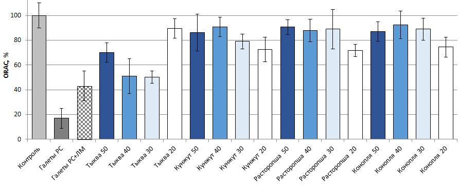
На рисунке 2 приведены результаты анализа антиоксидантной активности галет с добавками различных видов жмыха по градациям массовой доли от 50 до 20% с шагом 10%. На рисунке обозначению «РС» соответствует «ржаной солод» диспергированный, т.е. измельчённый немедленно после проращивания зёрен ржи до 2 мм. Обозначению «РС+ЛМ» соответствует «лён молотый». Контрольный уровень, принятый за 100%, является условной реперной точкой, поскольку в биологических системах полное тушение свободных радикалов невозможно по физиологическим причинам. Поэтому контрольный уровень использовался для формирования шкалы ORAC у рассмотренных вариантов галет с добавками.
Из представленного рисунка можно видеть, что добавки различных видов жмыха способствуют обогащению ржаных галет адаптогенными компонентами. Антиоксидантная активность пищевой системы галет из диспергированного ржаного жмыха составляла 17%; соответствующее значение для композиции галеты «РС+ЛМ» было в 2,5 раза выше (43%). При добавлении к этой основе жмыхов семян тыквы, кунжута, конопли или расторопши наблюдалось увеличение ORACв диапазоне 70…90%.

Дозовая зависимость антиоксидантной активности галет от добавок различных жмыхов
пояснения в тексте

Регрессионная зависимость антиоксидантной активности галет от массовой доли добавки тыквенного жмыха
4. Заключение
1. В результате работы показано, что жмых, отпрессованный в процессе отжима растительного масла из семян масличных культур, является для пищевой промышленности ценным вторичным ресурсом для обогащения сухого печенья (галет) для повышения их пищевой ценности и антиоксидантной активности. В отличие от семян кунжута и тыквы, имеющих ограниченное применение в хлебопекарном производстве, жмых этих культур, а также жмых расторопши и конопли, ранее не рассматривался как ценный природный источник компонентов с функциональными свойствами.
2. Показано, что адаптогенное значение добавок различных видов жмыха может быть количественно выражено и валидировано с помощью нового параметра — антиоксидантной активности пищевой системы. При внесении в пищевую систему из диспергированного ржаного жмыха и молотого льна (пропорция 6:4) добавок жмыхов семян тыквы, кунжута, конопли или расторопши наблюдалось увеличение ORAC от 43% до 70…90%.
3. Судя по данным двухфакторного дисперсионного анализа, для повышения адаптогенной активности рассмотренного вида сухого печенья значимым фактором является массовая доля жмыха, тогда как его вид не имеет достоверного влияния на результат.
4. Для трёх видов жмыха (кунжут, конопля, расторопша) выявлена сильная прямая положительная корреляция между массовой долей добавки и уровнем ORAC пищевой системы. Значения коэффициентов корреляции составили r1 = 0,85 (кунжут), r2 = 0,82 (расторопша), r3 = 0,68(конопля). Напротив, для тыквенного жмыха соответствующий коэффициент корреляции составил r4 = –0,39. Отрицательный характер и умеренная сила может указывать на «зашумление» другими переменными, не выявляемыми в ходе ANOVA.
