INCREASING THE RESISTANCE OF MAGNETIC FLUX CONCENTRATOR DURING GENERATION OF STRONG PULSED MAGNETIC FIELDS
INCREASING THE RESISTANCE OF MAGNETIC FLUX CONCENTRATOR DURING GENERATION OF STRONG PULSED MAGNETIC FIELDS
Abstract
The possibility of significant increase of generated pulse magnetic fields by the inductor system "one-turn solenoid + concentrator" without reaching the dangerous threshold of low-cycle fatigue mechanism initialisation is theoretically examined by varying the dimensions of the inductor system, the material of the concentrator, and the parameters of the discharge circuit. The analysis is carried out on the basis of self-consistent solution of the equation of dynamics of the discharge electric circuit with equations describing spatial distributions in the inductor and concentrator of magnetic and temperature fields, mechanical stresses and deformations. It is shown that for traditionally used steel concentrators by varying the electrical resistance of the circuit it is possible to increase the amplitude of generated pulsed magnetic fields without the threat of concentrator destruction by about 25%, from 32 Tesla to 40 Tesla.
1. Введение
Перспективным подходом для широкого круга технологических задач является магнитно-импульсная обработка
, , , . В то же время внедрению этого подхода препятствует невысокий ресурс индукторных систем, используемых для генерирования сильных импульсных магнитных полей с амплитудой порядка 30-60 Тл. Низкий ресурс обусловлен разрушением рабочей поверхности — проводника, ограничивающего область магнитного поля , , , . Под воздействием интенсивных термомеханических напряжений, сопровождающих процесс генерирования импульсных полей, на поверхности проводника появляются трещины, которые достаточно быстро прорастают вглубь за счет эффекта пилы , . Зарождение первоначальных трещин на поверхности материала, обладающего некоторым ресурсом пластичности, происходит по механизму малоцикловой усталости , . В рамках модели идеального упруго-пластичного тела механизм малоцикловой усталости запускается, если в ходе цикла «нагрев–охлаждение», обусловленного протеканием поверхностных токов, проводящий материал дважды достигает предела текучести: при нагреве и при последующем охлаждении , , , . Поэтому в данном исследовании, которое является продолжением работ , , , мы в качестве порогового магнитного поля будем подразумевать амплитудуВ литературе для увеличения стойкости проводящей поверхности обсуждались различные подходы
, , , , в частности: создание в материале градиентного профиля удельного сопротивления , , , , использование диамагнитного экрана с инерционным удержанием , оптимизация формы генерируемого магнитного импульсагде
В экспериментальных условиях изменение формы импульса генерируемого поля
2. Теоретическая модель
Схематичное изображение моделируемой системы «RLC-контур + соленоид + концентратор» представлено на рис. 1. Одновитковый соленоид с внутренним и внешним радиусами

Рисунок 1 - Схематичное изображение моделируемой системы
где
Подставляя выражение (2) для
где
где
Здесь
где
где
Численное решение уравнения динамики контура (7) требует в каждый момент времени информации о пространственных распределениях по соленоиду и концентратору магнитного поля
Здесь в случае концентратора
Для удельного сопротивления принимается линейная зависимость от температуры:
где
Начальные и граничные условия для уравнения теплопроводности (9) задавались в виде:
где
Механическая задача о пространственном распределении напряжений
с граничными условиями
где
где
которые представляют собой закон ассоциированного течения (16) и условие неизменности объема (17) в процессе пластического течения.
3. результаты и обсуждение
Ниже обсуждаются результаты моделирования в рамках представленной в предыдущем разделе теоретической модели. Система дифференциальных уравнений (7), (9) и (13) решалась численно. Параметры расчета соответствуют экспериментальной установке работ
, , :Электрические параметры RLC-контура — собственные индуктивность

Рисунок 2 - Импульс тока в электрическом контуре I(t) (a,c) и магнитного поля на внутренней поверхности концентратора B1(t) (b,d) при зарядном напряжении U0 = 5,2 кВ (a,b) и 10,0 кВ (c,d)

Рисунок 3 - Распределения плотности тока по концентратору (a) и соленоиду (b) при зарядном напряжении U0=10 кВ в моменты времени, отмеченные на рис. 3: t=6 (линии 1), 14 (2), 20 (3), 28 (4) и 42 мкс (5)

Рисунок 4 - Временные зависимости температуры (a) на поверхностях r = R1 (линия 1), r = R2 (линия 2), r = Rs,1 (линия 3), и компонент тензора напряжения: σφ (линия 1) и σz (линия 2) (b) на поверхности r = R1 при зарядном напряжении U0 = 10 кВ
Таким образом, максимальная амплитуда магнитного поля
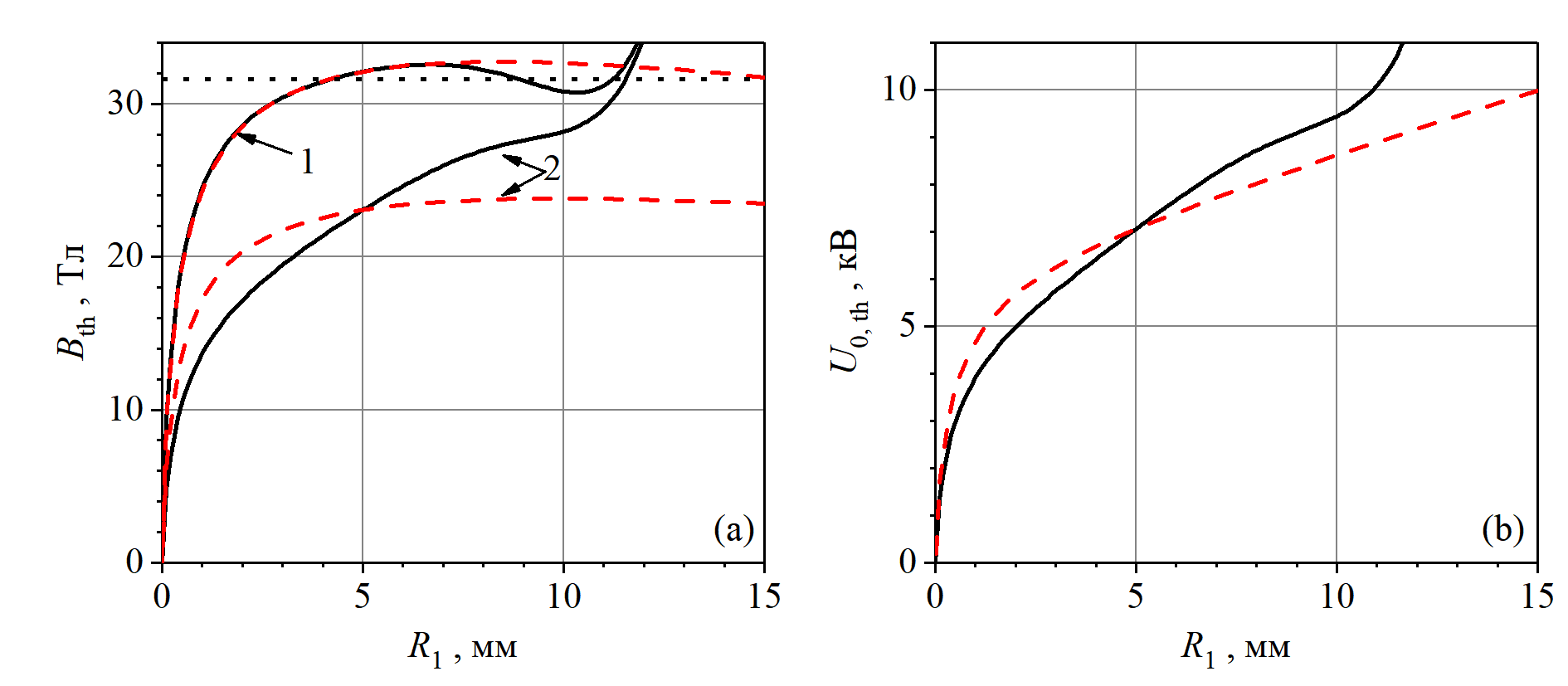
На рис. 5a представлены расчетные пороговые поля

Рисунок 5 - Пороговые поля Bth (линии 1), соответствующие поля соленоида B2,max (линии 2) (a), и – зарядные напряжения в зависимости от внутреннего радиуса концентратора R1 (b)
Примечание: штриховые красные линии - при пропорциональном увеличении всех радиальных размеров индукторной системы, т.е. при условии Ri - R1=const; сплошные черные линии — при Ri = const (i = 2, «s,1», «s,2»)
независящее от удельного сопротивления. Поэтому достижения нагрева

Рисунок 6 - Зависимость порогового поля (линия 1, Bth) и поля соленоида (линия 2, B2,max) от удельного сопротивления материала концентратора. Штриховая линия показывает асимптотику Bth2~ρe*
Перспективным способом более ощутимо повысить пороговое поле индукторной системы, как показывает теоретический анализ, выполненный в работах
, , является оптимизация формы генерируемого магнитного импульсагде

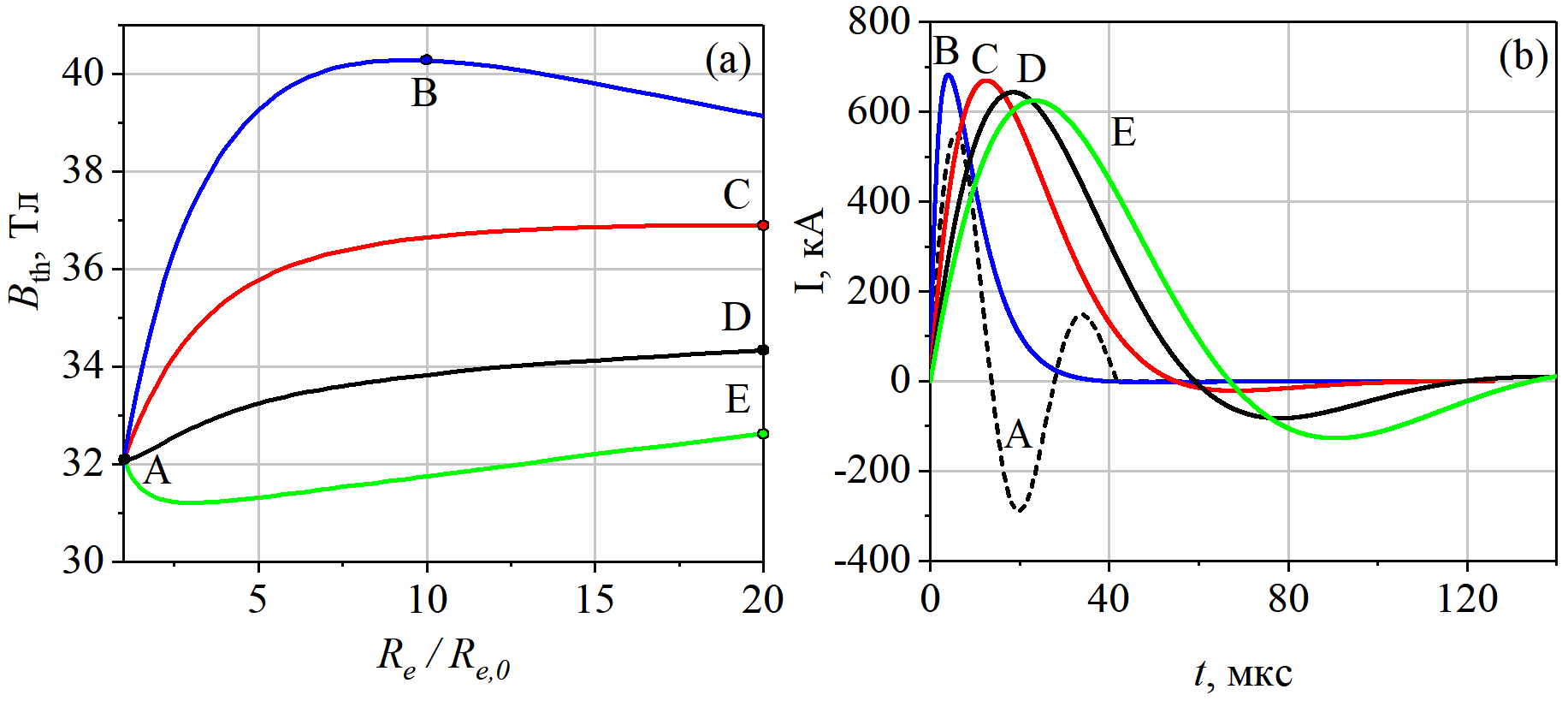
Рисунок 7 - Зависимость порогового поля Bth (a) от сопротивления электрического контура Re вдоль зависимостей Le(Re), определяемых ур. (19) с параметром α =0, 0.5, 1.0, 1.5 и временные развертки тока при разряде RLC-контура, соответствующие точкам A-E (b)
Наконец, в заключение проанализируем возможность одновременного использования высокого значения сопротивления контура
где функция

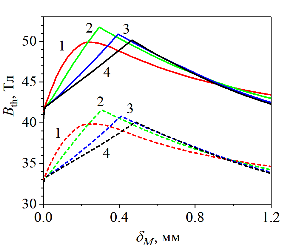
Рисунок 8 - Зависимость порогового поля Bth от глубины модификации при «амплитуде» γ0 = 1,5 и параметре Nγ = 1 (линии 1), 2 (линии 2), 6 (линии 3) и Nγ → ∞ (линии 4)
Примечание: щтриховые линии соответствуют исходному контуру с сопротивлением Re,0; сплошные линии — Re = 10Re,0
4. Заключение
Построена математическая модель, описывающая поведение индукторной системы «RLC-контур + одновитковый соленоид + концентратор», которая учитывает динамику разрядного электрического контура и диффузию магнитных полей как в соленоид, так и в концентратор. На основе построенной модели численно получено самосогласованное решение уравнения динамики контура и уравнений, описывающих пространственные распределения в индукторе и концентраторе магнитных и температурных полей, механических напряжений и деформаций. Начальные значения сопротивления и индуктивности RLC-контура
