ПОЛИМЕРНЫЕ КОМПОЗИТЫ НА ОСНОВЕ ОТХОДОВ ПЕНОПЛАСТОВ
ПОЛИМЕРНЫЕ КОМПОЗИТЫ НА ОСНОВЕ ОТХОДОВ ПЕНОПЛАСТОВ
Аннотация
Показана возможность формирования полимерных композитов из отходов пенопластов и наполнителя песка горячим прессованием. Установлено, что технологические параметры находятся в сложной взаимосвязи с составом разработанного материала с его свойствами. По результатам исследований получен композит со следующими характеристиками: плотность — 1568 ± 89 кг/м3, прочность на сжатие — 1,20±0,03 МПа, водопоглощение — 4±1%. Полученный материал можно будет рекомендовать использовать как отделочную и тротуарную плитку разных цветов и размеров, химически-, бензо-, био- и маслоустойчивые напольные и оконные покрытия в химических предприятиях, агротехнических и сельскохозяйственных комплексах, автозаправочных станциях, авиастроении, теплоизоляции, канализационных люков, погонажных изделий, настилов полов животноводческих ферм.
1. Введение
Поливинилхлорид (ПВХ), полистирол (ПС) и пенопласты на их основе применяются как в промышленности, так и в строительстве и бытовых нуждах, поэтому отходы этих материалов накапливаются в огромном количестве (бытовые, технологическое сырьё, остатки оконных профилей и упаковочных пленок, кабельный пластикат, трубы, обрезки).
На данный момент в России существуют разработки по получению из ПВХ и древесных отходов профильно-погонажных изделий , , , дверных и оконных профилей, труб , изготовления строительных изделий из смеси полимерных отходов полиэтилена, полистирола, поливинилхлорида .
Используют для получения изделий различного назначения в основном первичный полимер или его отходы, собираемые у населения и промышленных предприятий , , , .
Как показывает практика, за границей отходы полимеров и композитов утилизируются в основном пиролизом, сжиганием, фото- или биоразложением, а также банальным захоронением. Довольно широко известно, что композиты изготавливаются из первичных материалов , , , а вот такие изделия, как предметы культурно-бытового назначения, промышленности, строительства, теплоизоляции и т.д. возможно и нужно перерабатывать повторно для получения новых продуктов потребления. Становится понятно и очевидно, что композиционные материалы на их основе довольно выгодно из-за растущего на них годами спроса, а вместе с тем и не теряющих своей актуальности вопросов охраны окружающей среды.
Соответствующая литература и патентная информация показывают, что разработки по утилизации отходов пенопластов для получения полимербетонов на данный момент не выявлены. Поэтому тематика научных исследований является актуальной.
Исходя из вышесказанного, целью работы явилось создание композитного материала на основе отходов пенопластов ПВХ и ПС с высокими техническими параметрами, эксплуатационными и физико-механическими свойствами.
В соответствии с целью поставлены следующие задачи:
– Исследовать достижения в развитии технологии в утилизации отходов пенопластов на мировом уровне.
– Проанализировать технологические параметры получения композитов.
– Изучить свойства полученных образцов и их зависимость от показателей.
– Рекомендовать состав, технологические параметры и свойства на внедрение в производство.
2. Методы и принципы исследования
Для исследовании выбраны следующие составляющие: отходы пенопластов — ППВХ и ППС, диоктилфталат (ДОФ) и наполнитель — песок, свойства которых представлены ниже.
Отходы пенопластов — это смесь дробленных отходов теплоизоляционных материалов из ПВХ и ПС с предприятия, производящего теплоизоляцию (г. Владимир). В ходе экспериментальных данных было получено, что пенополивинилхлорида в отходах содержится в количестве 78%, а пенополистирола — 22%. Данные по фракционному составу отходов приведены в таблице 1.
Таблица 1 - Фракционный состав отходов
Содержание отходов о фракциям, масс. % | Фракция, мм | ||||
> 1 | 1-0,5 | 0,5-0,25 | 0,25-0,1 | < 0,1 | |
1,92 | 2,40 | 14,76 | 27,58 | 53,34 | |
Чтобы улучшить свойства готовых материалов и перерабатываемость, а также повысить связь компонентов между собой, использовался диоктилфталат (ГОСТ 8728-88) — самый распространенный пластификатор для ПВХ.
Для наполнения композитов использовался песок, взятый из Улыбышевского карьера во Владимирской области, (ГОСТ 8736-93). Ситовый определён при исследовании (табл.2). Для получения образцов взята фракция 0,315:0,63 мм, так как она лучше перемешивается в композиции, в отличие от более мелких фракций.
Таблица 2 - Фракционный состав песка
Размер сита, № | 0,315¸0,63 |
Доля фракции, мас. % | 37,0 |
Ингредиенты взвешивались, а затем шло перемешивание в шаровой мельнице. Образцы получали горячим прессованием. После получения образцов проводились следующие испытания: прочность при 10%-сжатии σсж (ГОСТ 10180-2012), плотность (ГОСТ 12730.1-78), водопоглощение (ГОСТ 12730.3-78).
Для хорошей сходимости результатов, малой погрешности и рассеянии при математическом моделировании применён план Бокса-Бенкина (размерность — К=3) .
3. Основные результаты
Суть данного плана состоит в реализации 17 опытов с варьированием значений трёх выбранных компонентов (табл. 3). Зафиксированные параметры — температура, время изготовления образцов и давление прессования.
Таблица 3 - Факторы и уровни их варьирования
Фактор
| Обозначение | Единицы измерения | Уровни варьирования факторов | |||
верхний | нулевой | нижний | ||||
Кодированное обозначение | ||||||
+1 | 0 | -1 | ||||
Отходы | Х1 | Мас.ч | 110 | 100 | 90 | |
ДОФ | Х2 | Мас.ч | 52 | 46 | 40 | |
Песок | Х3 | Мас.ч | 80 | 70 | 60 | |
После проведения эксперимента получили экспериментальные данные, которые сведены в таблицу 4.
Таблица 4 - Параметры выхода системы проведенного эксперимента
№ образца | Плотность, кг/м3 | Водопоглощение, % | Прочность при сжатии, МПа |
1 | 1490 | 6 | 1,1 |
2 | 1483 | 6,5 | 0,94 |
3 | 1513 | 7,5 | 0,74 |
4 | 1553 | 8,8 | 0,91 |
5 | 1312 | 9 | 0,95 |
6 | 1342 | 9 | 1,14 |
7 | 1408 | 9,5 | 0,9 |
8 | 1340 | 9,5 | 0,82 |
9 | 1378 | 9 | 0,89 |
10 | 1324 | 12 | 0,81 |
11 | 1354 | 10 | 0,87 |
12 | 1377 | 11 | 0,87 |
13 | 1513 | 2,5 | 1,17 |
14 | 1485 | 5 | 1,15 |
15 | 1697 | 4,5 | 1,18 |
16 | 1623 | 3,5 | 1,16 |
17 | 1520 | 4,5 | 1,14 |
В ходе проведения математического моделирования были получены следующие уравнения регрессии взаимосвязи свойств изделий с их составом:
По расчетам все модели адекватны.
Адекватность уравнения регрессии оценивали по критерию Фишера F, однако по плану Бокса-Бенкина анализ S∆U позволяет допустить применение полиномиальной модели без проверки адекватности. Исходя из сказанного, принимаем, что при условии S{Y0}> S∆U соблюдено и модель считается адекватной .
Далее в программе Microsoft Excel построили поверхности отклика зависимости свойств материалов от состава композиции.

Зависимость прочности при 10 %-ном сжатии полимербетона от концентрации компонентов при различном содержании песка:
а - 60; б - 70; в - 80

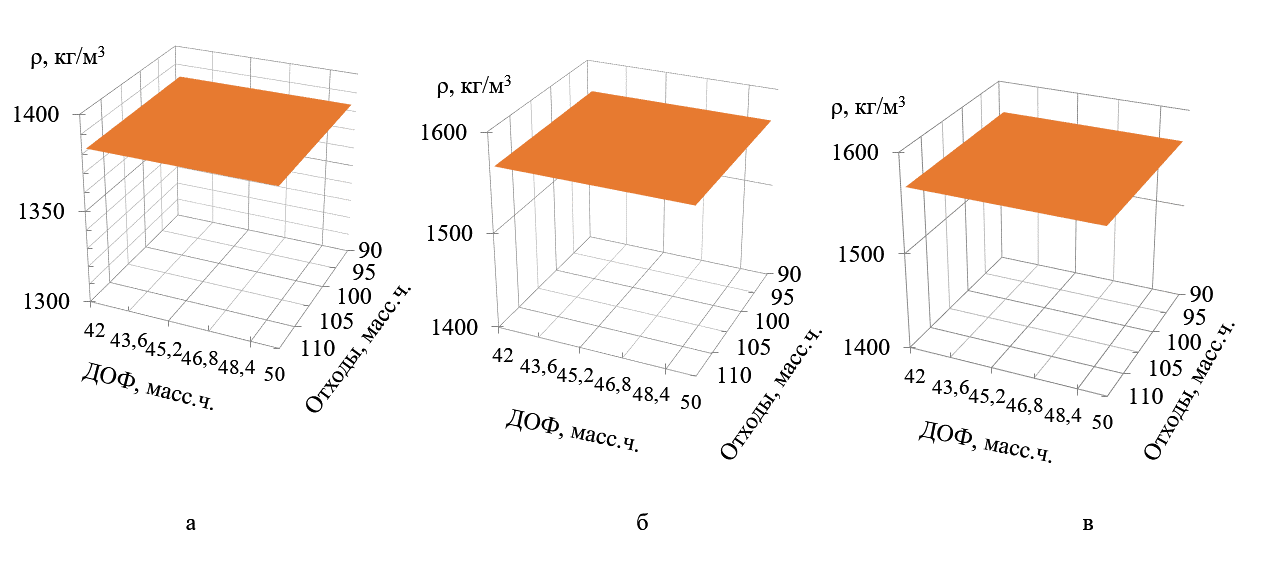
Зависимость плотности полимербетона от концентрации компонентов при различном содержании песка:
а - 60; б - 70; в - 80

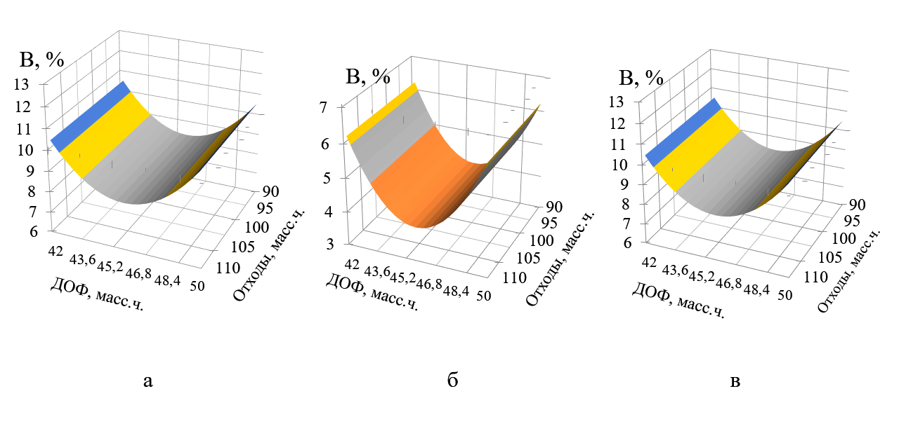
Зависимость водопоглощения полимербетона от концентрации компонентов при различном содержании песка:
а - 60; б - 70; в - 80
Было выявлено, что при увеличении концентрации ДОФ водопоглощение и прочность имеют параболическую зависимость свойств, плотность при этом практически не изменяется. При росте концентрации отходов пенопластов водопоглощение и плотность практически не изменяется, прочность растет.
Рост концентрации песка в композиции приводит к увеличению плотности, прочности, водопоглощение же при этом варьируется в пределах 4 – 11%.
В работе также проведено исследование по влиянию технологических параметров на свойства получаемых изделий. Выявлено, что температура горячего прессования не должна превышать 180 ⁰С, время выдержки образцов под термонагрузкой — не более 40 мин. (температура и время обусловлены температурой деструкции полимера). Удельное давление прессования должно составлять 20 МПа.
В таблице 5 приведен сравнительный анализ разработанного композита и выбранного ему аналога.
Таблица 5 - Показатели разработанного композита и аналога
Характеристики | Аналог (композит на основе полиэтилена) | Разработанный композит на основе отходов |
Прочность при сжатии, МПа | 0,98 | 1,20 0,03 |
Плотность, кг/м3 | 1120 | 1568 |
Водопоглощение, % | 1 | 4 |
Температура получения, ⁰С | 250 | 180 |
4. Обсуждение
Ранее проведенные исследования показали эффективность создания композитов из термопластичных полимеров, применение которых ограничено из-за сложности переработки и совмещения их с наполнителями , . Известны работы по применению полиэтилена как связующего для получения высоконаполненных композитов. Наполнителем использовался песок. Однако данные композиты имеют такие важные недостатки как низкая теплостойкость (до 50 ⁰С), скользкая поверхность и фотодеструкция. Композиты на основе поливинилхлорида и их смесей такими недостатками не обладают.
5. Заключение
В ходе проведенных исследований были получены высоконаполненные композиты на основе отходов пенопластов поливинилхлорида и полистирола с использованием кремнеземистого наполнителя.
Выявлены зависимости влияния концентрации компонентов композиции на свойства готовых изделий. По полученным уравнениям регрессии и построенным поверхностям отклика следует, что при увеличении количества отходов и концентрации пластификатора плотность находится приблизительно на одном уровне, а при росте концентрации песка происходит увеличение плотности и прочности композита.
Предложен для практического применения состав композита и технологические параметры его производства. Разработанный материал превосходит по своим показателям известный аналог, выпускаемый на рынке строительных материалов.
