Лабораторные исследования влияния реагента на основе кластеров оксида цинка на туманы
Лабораторные исследования влияния реагента на основе кластеров оксида цинка на туманы
Аннотация
В статье представлены результаты лабораторных исследований конденсационных свойств оксида цинка как перспективного реагента для рассеяния туманов. Оксид цинка является гидрофильным веществом, однако его свойства в отношении воды могут меняться в зависимости от условий, в которых он находится. В результате экспериментов установлено, что при возгонке оксида цинка начинает успешно адсорбироваться больше водяного пара и образовываются более крупные капли. Благодаря гигроскопичной микроструктуре ZnO, которая притягивает большое количество водяного пара, концентрация капель размером 10 мкм увеличивается в 20 раз, а концентрация капель в 25 мкм увеличивается в 9 раз относительно фоновых показателей. Получено, что искусственный туман полностью рассеивается через 5 минут после внесения оксида цинка в облачную среду.
1. Introduction
Currently, the implementation of measures to influence warm fogs is an urgent issue not only for cloud physics, but also for the economy as a whole. The effect on fogs in order to disperse them is associated with the need to increase the range of visibility in order to avoid emergencies, since according to statistics, more than a third of all the most serious car accidents occur due to poor visibility on the roads
. With the help of active influences, it is possible both to suppress the development of the meteorological process and to stimulate it, depending on the purpose of the project , .It is known that the microstructure of fog is relatively stable and consists of water droplets with a radius of 2–5 microns. Condensation processes and droplet coagulation occur simultaneously in fog
, . The effectiveness of fog exposure depends on the meteorological parameters of the fog. The higher the temperature of the fog, the more effective the effect; the greater the water content, the harder it is to disperse . Reagents are often used to disperse fog, which accelerate condensation processes, causing moisture to be distilled from droplets to reagent particles. The possibilities of influencing warm clouds and fogs are limited due to the relative stability of the microstructure of warm clouds and fogs.The paper presents the results of studies of the condensation properties of zinc oxide. Zinc oxide has hydroxyl groups on its surface that interact with water. Zinc oxide particles have a hygroscopic film that appears on them as a result of the capture of small droplets or due to surface condensation.
A description of the complex of equipment, a method for studying the condensation properties of zinc oxide and the results of laboratory studies are given. Background values were measured for comparison.
2. Research methods and principles
A set of equipment has been developed for conducting research, a detailed description of which is given in the work
. The complex of equipment includes a large cloud chamber, a particle counter, a device for sublimating the reagent, an ultrasonic steam generator, scales, and an optical microscope.The large cloud chamber is equipped with sensors to monitor temperature and relative humidity. An ultrasonic steam generator is connected to the chamber through a pipe, and fans are installed in the chamber to mix the steam and reagent mixture. The spectrum of droplets in the chamber was measured using a particle counter.
Glass substrates were used to fix the droplets, on the surface of which a special composition was applied from a mixture of transformer oil, paraffin and petroleum jelly.
A zinc suspension is weighed on an electronic scale and placed on a graphite substrate. Glass substrates, previously covered with lids, are placed at the bottom of the chamber. Background droplet concentrations are measured. Steam is introduced into the chamber to create artificial fog, and the particle counter is turned on. During sampling, the substrates are opened to capture droplets. They are extracted and photographed in the field of an optical microscope.
After measuring the background values of the droplet spectrum, artificial fog is created in the chamber again and zinc is sublimated. Sampling with a particle counter and droplet deposition on the substrates are repeated. At the end of the experiment, the experimental conditions and data on the droplet spectra are recorded, after which the data obtained are analyzed.
3. Main results
Due to the presence of hydroxyl groups on its surface and its rough morphology, zinc oxide can attract and retain water molecules on its surface. The hygroscopic point of zinc oxide is not a definite constant, but depends on temperature and humidity [8]. In this regard, an experiment was conducted to determine the hygroscopic point as part of laboratory research. Laboratory tests were carried out at relative humidity from 70 to 100%, humidity and temperature levels in a large cloud chamber were monitored using a thermometer and hygrometer.
Table 1 shows the background values of the droplet spectrum, as well as their change with increasing relative humidity after application of zinc oxide.
Table 1 - Hydrophilicity of zinc oxide at different relative humidity values
d, µm | 0,3 | 0,5 | 1 | 5 | 10 | 25 |
background | 50,6×106 | 2,5×106 | 0,08×106 | 320 | 80 | 0 |
70 % | 32,8×106 | 36,1×106 | 5,9×106 | 123834 | 23459 | 1600 |
80 % | 30,8×106 | 33,1×106 | 8,9×106 | 133241 | 26060 | 17220 |
90 % | 29,4×106 | 33,6×106 | 10,1×106 | 197441 | 42896 | 5379 |
100 % | 14,0×106 | 31,5×106 | 42,7×106 | 41562 | 8900 | 200 |

Figure 1 - Dependence of zinc oxide hydrophilicity at different relative humidity values
The research results have shown that zinc oxide at relative humidity above 80% begins to actively exhibit its hydrophilic properties. According to
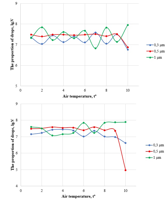
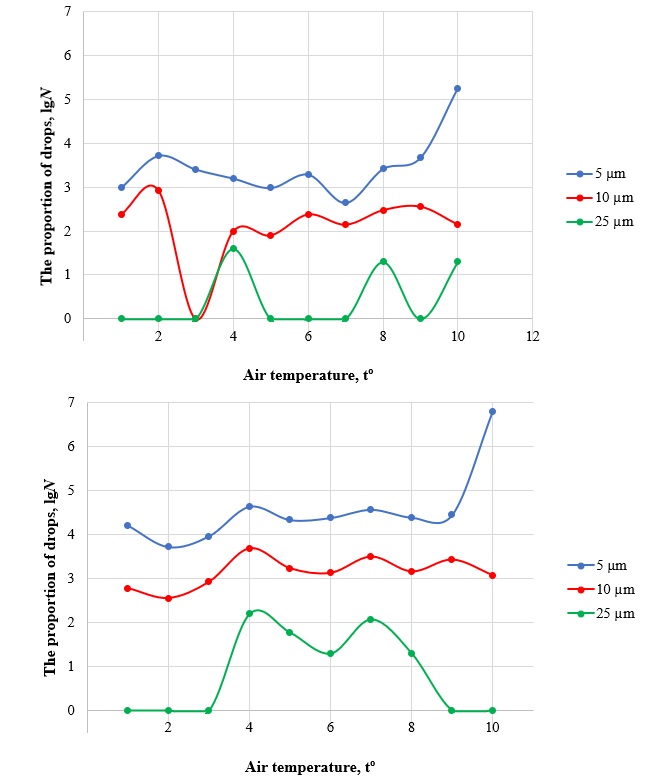
, condensation of water on the surface can occur spontaneously only at a relative humidity of at least 100%.Table 2 and Figures 2 and 3 show the results of the background values of the spectrum of droplets ranging in size from 0.3 to 25 microns, as well as their change after application of zinc oxide.
Table 2 - Concentrations of 0.3-1 micron droplets before and after exposure to ZnO
Background concentration values | 3 minutes after applying the reagent | ||||||||||||
µ tº | 0,3 | 0,5 | 1 | 5 | 10 | 25 | µ
tº | 0,3 | 0,5 | 1 | 5 | 10 | 25 |
+1 | 22,5×106 | 30,9×106 | 21,3×106 | 960 | 240 | 0 | +1 | 14,1×106 | 30,4×106 | 39,6×106 | 16199 | 600 | 0 |
+2 | 10,8×106 | 25,0×106 | 69,3×106 | 5161 | 840 | 0 | +2 | 17,1×106 | 31,8×106 | 32,2×106 | 5278 | 360 | 0 |
+3 | 28,1×106 | 31,0×106 | 16,7×106 | 2521 | 0 | 0 | +3 | 26,5×106 | 38,3×106 | 12,0×106 | 9242 | 840 | 0 |
+4 | 13,5×106 | 31,0×106 | 41,1×106 | 1580 | 100 | 40 | +4 | 27,4×106 | 34,7×106 | 14,3×106 | 43400 | 4840 | 160 |
+5 | 25,2×106 | 29,0×106 | 20,6×106 | 960 | 80 | 0 | +5 | 24,1×106 | 35,4×106 | 16,8×106 | 21580 | 1700 | 60 |
+6 | 13,0×106 | 30,7×106 | 47,1×106 | 1939 | 240 | 0 | +6 | 10,4×106 | 24,9×106 | 69,3×106 | 24058 | 1340 | 20 |
+7 | 39,0×106 | 32,8×106 | 6,7×106 | 440 | 140 | 0 | +7 | 22,7×106 | 38,5×106 | 17,4×106 | 36904 | 3140 | 120 |
+8 | 11,1×106 | 26,1×106 | 66,7×106 | 2600 | 300 | 20 | +8 | 10,2×106 | 24,6×106 | 71,0×106 | 24462 | 1440 | 20 |
+9 | 31,4×106 | 32,5×106 | 13,8×106 | 4680 | 360 | 0 | +9 | 9,5×106 | 23,0×106 | 75,4×106 | 28418 | 2680 | 0 |
+10 | 5,8×106 | 7,5×106 | 90,7×106 | 0,2×106 | 140 | 20 | +10 | 4,1×106 | 94419 | 77,9×106 | 6,4×106 | 1180 | 0 |

Figure 2 - Concentrations of 0.3-1 micron droplets before and after exposure to ZnO

Figure 3 - Concentrations of droplets measuring 5-25 microns before and after exposure to ZnO
Analysis of the results showed that the number of drops of all sizes increases. The number of drops measuring 5-10 microns increases, exceeding the background values by an order of magnitude. Drops of 25 microns in size appear in the temperature range of +4... +7 ° C, although they were absent before the reagent was applied, or their number did not exceed several dozen. A sharp increase in droplets measuring 5–25 microns is an indicator of the effectiveness of zinc oxide. An increase in the concentration of this spectrum of droplets is expected to promote rapid adsorption, condensation, and formation of water droplets, which can lead to effective fog dispersion
.The results show that zinc oxide particles adsorbed more water vapor. This process contributed to the formation of larger water droplets. After applying zinc oxide, drops of 25 microns appear in comparison with the background spectrum of droplets. The differences in the temperature range of +4...+7 °C are especially noticeable. At these temperature values, the number of drops of 5 and 10 microns increases by an order of magnitude.
4. Conclusion
A series of laboratory experiments have been conducted to study the effects of zinc oxide particles on warm fogs. The experiments were carried out at a temperature in the chamber from +1 to +10 ° C and a relative humidity of 100%. The background values of the droplet spectrum before applying the reagent, and the values of the droplet spectrum after applying the reagent to a cloudy environment, are determined. After applying the reagent, both the droplet concentration and the droplet size increased significantly in all size ranges. Especially at a relative humidity of 100% in the temperature range from +4 to +7 ° C. The concentration of droplets of 10 microns in size, the growth of which is caused by zinc oxide particles, increases by 20 times, and the concentration of droplets of 25 microns increases by 9 times relative to the background values. The artificial fog completely dissipates 5 minutes after the application of zinc oxide.
These results correspond to the hygroscopic characteristics studied above, and confirm that zinc oxide particles can serve as condensation nuclei in warm fogs.
