ОБРАЗОВАНИЕ ФОСФАТОВ БАРИЯ, СТРОНЦИЯ, ЛАНТАНА И УРАНА В ХЛОРИДНЫХ РАСПЛАВАХ
ОБРАЗОВАНИЕ ФОСФАТОВ БАРИЯ, СТРОНЦИЯ, ЛАНТАНА И УРАНА В ХЛОРИДНЫХ РАСПЛАВАХ
Аннотация
В работе изучена возможность совместного выделения бария, стронция, лантана и урана из хлоридных расплавов систем NaCl–KCl при 750oC, NaCl–KCl–CsCl при 650oC и LiCl–KCl при 550oC методом фосфатного осаждения в инертной атмосфере с использованием ортофосфата натрия в качестве осадителя. Методами химического, гранулометрического и рентгенодифракционного анализа определен состав и размеры частиц полученных фосфатов. Изучено влияние мольного отношения реагента осадителя к (Sr2+/Ba2+ + La3+ + UO22+) на фазовый состав осаждаемых фосфатов. Определён избыток ортофосфата натрия, необходимый для количественного перевода изучаемых ионов из расплава в фазу осадка. Проведено комплексное исследование полученных осадков методом ИК-спектроскопии.
1. Введение
Солевые хлоридные расплавы являются рабочими средами для пирохимической переработки отработавшего ядерного топлива (ОЯТ). Для повторного использования электролита необходимо разработать эффективные методы очистки расплавленных солей от электроотрицательных продуктов деления, остающихся после извлечения делящихся материалов и включающих щелочноземельные (Sr, Ba) и редкоземельные элементы (La). Одним из перспективных подходов к регенерации электролита является фосфатное осаждение, позволяющее селективно выделять металлы в виде малорастворимых соединений.
В предыдущих работах , , , было рассмотрено образование фосфатов индивидуальных редкоземельных элементов, а также стронция и бария из расплавов хлоридов щелочных металлов: NaCl–KCl, LiCl–KCl, NaCl–KCl–CsCl и NaCl–CsCl. Для каждого из изученных элементов была выполнена серия экспериментов, в ходе которых в солевой смеси растворяли хлорид РЗЭ или хлорид бария/стронция , , , . Далее полученную смесь хлоридов помещали в алундовые тигли и к ним добавляли реагент-осадитель в разных стехиометрических соотношениях. В качестве реагента-осадителя были опробованы фосфаты лития, натрия, калия и аммония. Тигли помещали в стальную реторту, которую герметизировали, вакуумировали и заполняли аргоном. Реторту помещали в вертикальную шахтную печь и нагревали до рабочей температуры, которая зависела от природы соли растворителя (от 550oC до 750oC). Продолжительность процесса осаждения варьировали от двух до пяти часов , . Далее расплав охлаждали до комнатной температуры, производили отмывку полученного фосфата, осадок сушили и анализировали методом рентгеновской дифракции. В отдельной серии экспериментов было изучено влияние перемешивания расплава на протекание процесса осаждения.
Результаты экспериментов показали, что оптимальная продолжительность стадии осаждения составляет два часа с момента нагрева смеси хлоридов до рабочей температуры. Перемешивание расплава позволяет интенсифицировать процесс осаждения фосфатов и сократить продолжительности эксперимента до одного часа.
По результатам химического и рентгенофазового анализа было показано, что катионный состав соли-растворителя и избыток осадителя оказывают влияние на состав образующихся фосфатов. Установлено, что в случае редкоземельных элементов при повышении концентрации реагента-осадителя происходит изменение состава от простых к двойным фосфатам:
Однако в литературе отсутствуют сведения о процессах образования фосфатов в случае совместного присутствия нескольких элементов в расплаве. Поэтому целью настоящей работы являлось определение состава соединений, образующихся при введении фосфат-ионов в хлоридные расплавы, имеющие технологическое значение (NaCl–KCl, LiCl–KCl и NaCl–KCl–CsCl) и содержащие ионы щелочноземельных элементов, РЗЭ и урана (Sr2+/Ba2+ + La3+ + UO22+).
2. Экспериментальная часть
Эксперименты по фосфатному осаждению выполняли в электролитах различного состава: (Na–K)Cl + МCl2 + LaCl3 + UO2Cl2; (Na–K–Cs)Cl + МCl2 + LaCl3 + UO2Cl2; (Li–K)Cl + МCl2 + LaCl3 + UO2Cl2 (М = Sr или Ba). Исходные солевые смеси готовили посредством барботирования хлора и хлороводорода через расплав соли-растворителя, содержащий оксид лантана, закись-окись урана и хлорид бария или стронция. Пример внешнего вида получающихся при этом солевых электролитов представлен на рис. 1.

Рисунок 1 - Внешний вид солевой смеси (Na–K–Cs)Cl + SrCl2 + LaCl3 + UO2Cl2 в жидком, полузастывшем и твердом состоянии
3. Результаты и их обсуждение
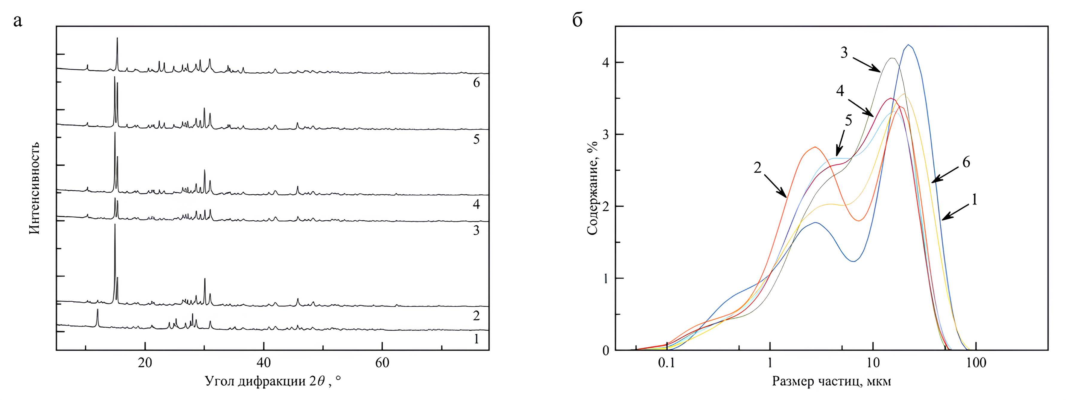
В присутствии фосфат-ионов происходит совместное осаждение присутствующих в расплаве катионов металлов (лантана, уранила, стронция или бария) в виде фосфатов. На рис. 2 представлены результаты рентгенофазового анализа (а), гранулометрического анализа (б), ИК-спектроскопии (в) и спектроскопии комбинационного рассеяния света (г) частиц осадков, полученных из расплавов на основе NaCl–KCl, содержащих ионы уранила, лантана и стронция. Результаты расшифровки рентгенограмм приведены в табл. 1. На всех ИК-спектрах присутствуют полосы, обусловленные колебаниями в фосфат-ионе: симметричным валентным ν1 в области 950–990 см–1, антисимметричным валентным ν3 около 1000–1150 см–1, деформационными ν2 и ν4 в области 400–500 и 550–660 см–1, соответственно. В спектрах КРС полосы, соответствующие указанным колебаниям, практически не выражены. Сопоставление результатов фазового и спектрального анализа показывает, что при низком мольном отношении количества реагента-осадителя к ионам осаждаемых металлов происходит образование простого ортофосфата лантана (моноклинная фаза типа монацита) и диураната натрия. При увеличении количества вводимого фосфата натрия, начиная с двукратного избытка, происходит образование двойных фосфатов типа Na3La(PO4)2. Аналогичное влияние количества введённого фосфата прослеживается и на состав фосфатов стронция.
Также в табл. 1 представлены данные, иллюстрирующие влияние избытка Na3PO4 на степень осаждения фосфатов. Видно, что увеличение количества реагента-осадителя приводит к увеличению степени осаждения присутствующих в расплаве катионов. Практически количественное осаждение происходило при мольных отношениях (МО) PO43– : (Sr2+ + La3+ + UO22+) более 1,4.
Измерение размера частиц осадков проводили с использованием ультразвуковой обработки. Основная масса частиц имеет размеры не более 100 мкм (рис. 1(б)). На кривых распределения частиц по крупности наблюдается основной максимум в области 30 мкм. Распределение частиц по размерам не строго мономодальное, на кривых на рисунке 1(б) присутствует плечо без явно выраженного максимума около 3–4 мкм. Полученные результаты демонстрируют, что увеличение количества реагента-осадителя практически не влияет на распределение частиц образующихся осадков по размерам, о чём свидетельствуют схожие профили кривых.

Рисунок 2 - Результаты: а – рентгенофазового анализа, б – гранулометрического анализа, в – ИК-спектроскопии, г – спектроскопии КРС частиц осадков, полученных из расплава на основе (NaCl–KCl) + SrCl2 + LaCl3 + UO2Cl2
Примечание:
в зависимости от мольного отношения PO43– : (Sr2+ + La3+ + UO22+): 1 – 0,36; 2 – 0,71; 3 – 1,06; 4 – 1,42; 5 – 2,13; 6 – 3,55
Таблица 1 - Влияние избытка Na3PO4 на полноту осаждения ионов стронция, лантана и уранила из расплава на основе NaCl–KCl, 750оС
Мольное отношение PO43– : (Sr2++La3++UO22+) | Степень осаждения, % | Фазовый состав осадка |
0,36 | 60,08 | Na2U2O7, LaPO4(мон.) |
0,71 | 79,85 | Na2U2O7, LaPO4(мон.), K2U2O7 |
1,06 | 97,18 | Sr5(PO4)3Cl, LaPO4(мон.), Na2U2O7, |
1,42 | 99,53 | Sr5(PO4)3Cl, LaPO4, Na2U2O7, Sr3(PO4)2 |
2,13 | 99,43 | Na2U2O7, LaPO4(мон.), Na3La(PO4)2 – возможно изоструктура |
3,55 | 98,03 | Na2U2O7, Na3La(PO4)2 – возможно изоструктура, NaSrPO4 |
Как и в случае расплавов на основе NaCl–KCl, содержащих ионы Sr2+ + La3+ + UO22+, в расплаве со смесью хлоридов Ba2+ + La3+ + UO22+ для осаждения указанных катионов также требуется небольшой избыток фосфата натрия (табл. 2). Результаты гранулометрического анализа (рис. 3) также демонстрирует распределение частиц по размерам в диапазоне от 0,1 до 100 мкм. Однако в этом случае заметно влияние избытка реагента-осадителя на размер образующихся частиц. С увеличением МО происходит изменение профиля размера частиц со смещением пика от 10 мкм к 30 мкм.

Рисунок 3 - Результаты гранулометрического анализа частиц осадков, полученных из расплава на основе NaCl–KCl
Примечание: в зависимости от мольного отношения PO43– : (Ba2+ + La3+ + UO22+): 1 – 0,30; 2 – 0,60; 3 – 0,90; 4 – 1,19; 5 – 1,78; 6 – 2,96
Таблица 2 - Влияние избытка Na3PO4 на полноту осаждения ионов бария, лантана и уранила из расплава на основе NaCl–KCl, 750оС
Мольное отношение PO43– : (Ba2+ + La3+ + UO22+) | Степень осаждения, % |
0,30 | 65,52 |
0,60 | 90,41 |
0,90 | 99,89 |
1,19 | 99,68 |
1,78 | 99,97 |
2,96 | 99,93 |
Осадки, полученные из расплавов на основе эвтектической смеси NaCl–KCl–CsCl, содержащих ионы лантана, уранила и стронция или бария, имеют иной фазовый и гранулометрический состав, что видно из рис. 4 и 5. На кривых распределения частиц по размеру наблюдается два пика с максимумами около 5 мкм и 30 мкм. При увеличении МО происходит образование фосфатов сложного состава (табл. 3 и 4).

Рисунок 4 - Результаты: а – рентгенофазового анализа, б – гранулометрического анализа, в – ИК-спектроскопии, г – спектроскопии КРС частиц осадков, полученных из расплава (NaCl–KCl–CsCl) + SrCl2 + LaCl3 + UO2Cl2
Примечание: в зависимости от мольного отношения PO43– : (Sr2+ + La3+ + UO22+): 1 – 0,40; 2 – 0,78; 3 – 1,19; 4 – 1,57; 5 – 2,36; 6 – 3,92
Таблица 3 - Влияние избытка Na3PO4 на полноту осаждения ионов стронция, лантана и уранила из расплава на основе NaCl–KCl–CsCl, 650оС
Мольное отношение PO43– : (Sr2+ + La3+ + UO22+) | Степень осаждения, % | Фазовый состав осадка |
0,40 | 61,95 | La0.5Na0.5UO4, LaPO4(мон.), Sr2U3O9 |
0,78 | 78,83 | NaCl, Sr2U3O9, LaPO4(мон.), La0.5Na0.5UO4, Cs2UCl7 |
1,19 | 93,79 | UO2(PO3)2; sylvine, sodian; LaPO4(мон.); La0.5Na0.5UO4; LaPO4(гекс.); lanthinite; uranyl bis (dihydrogenphosphate) trihydrate |
1,57 | 99,92 | P2O5, LaPO4(гекс.), Sr10O(PO4)6, K2U2O7, Na6La(PO4)3, LaPO4(мон.) |
2,36 | 99,74 | P2O5, LaPO4(гекс.), Sr10O(PO4)6, K2U2O7, KPO3, Na6La(PO4)3 |
3,92 | 99,27 | La0.5Na0.5UO4, NaCl, LaPO4(гекс.), Na3La(PO4)2 – возможно изоструктура |

Рисунок 5 - Результаты: а – рентгенофазового анализа, б – гранулометрического анализа, в – ИК-спектроскопии, г – спектроскопии КРС частиц осадков, полученных из расплава (NaCl–KCl–CsCl) + ВаCl2 + LaCl3 + UO2Cl2
Примечание: в зависимости от мольного отношения PO43– : (Ba2+ + La3+ + UO22+): 1 – 0,31; 2 – 0,62; 3 – 0,94; 4 – 1,24; 5 – 1,86; 6 – 3,10
Таблица 4 - Влияние избытка Na3PO4 на полноту осаждения ионов бария, лантана и уранила из расплава на основе NaCl–KCl–CsCl, 650оС
Мольное отношение PO43- : (Ва2+ + La3+ + UO22+) | Степень осаждения, % | Фазовый состав осадка |
0,31 | 67,20 | LaPO4(мон.), Ba2U3O9, La0.5Na0.5UO4, Ba4OCl6 |
0,62 | 82,15 | LaPO4(мон.), Na0.5La0.5UO4, UO2(H2PO4)2(H2O)3, BaU2O7, Ba4OCl6, Ba2U3O9 |
0,94 | 96,57 | BaU2O7, Ba(UO2)2(PO4)2(H2O)6, LaPO4(мон.), Na0.5La0.5UO4, LaPO4(hex), Ba4OCl6, U(HPO4)2·6H2O |
1,24 | 99,88 | LaPO4(гекс.), Ba(UO2)2(PO4)2(H2O)6, Ba4OCl6, U(HPO4)2·6H2O, Na3La(PO4)2 – возможно изоструктура |
1,86 | 99,68 | La3PO7, NaClO3, U(HPO4)2·6H2O, Na6La(PO4)3, LaPO4(гекс.), BaO2·8H2O |
3,10 | 98,72 | Na3La(PO4)2 – возможно изоструктура, U(HPO4)2·6H2O, NaClO3, Na0.5La0.5UO4, Ba2UO2(PO4)2 |
Частицы осадка, полученные из расплавов на основе LiCl–KCl, также имеют размеры в диапазоне от 0,1 до 100 мкм (рис. 6 и 7). Профили кривых распределения частиц имеют два максимума около 5 мкм и 10–30 мкм. При этом с увеличением МО происходит смещение пиков в область больших размеров.

Рисунок 6 - Результаты: а – рентгенофазового анализа, б – гранулометрического анализа, полученных из расплава на основе LiCl–KCl
Примечание: в зависимости от мольного отношения PO43- : (Sr2+ + La3+ + UO22+): 1 – 0,36; 2 – 0,72; 3 – 1,07; 4 – 1,45; 5 – 2,14; 6 – 3,56
Таблица 5 - Влияние избытка Na3PO4 на полноту осаждения ионов стронция, лантана и уранила из расплава на основе LiCl–KCl, 550оС
Мольное отношение PO43- : (Sr2++La3++UO22+) | Степень осаждения, % | Фазовый состав осадка |
0,36 | 41,16 | Na2(UO2)6O4(OH)6 ∙ 8H2O, LaPO4, UO2HPO4(H2O)4 |
0,72 | 63,09 | Na(UO1.5)O2, La(OH)3, UO3∙2H2O, NaSr(PO3)3, Na4(UO2(O2)3)(H2O)9, H11(UO2)2(PO4)5, LaPO4 |
1,07 | 61,00 | LaPO4, La(OH)3, La3PO7, NaPUO6 ∙ 3H2O, Na2U2O7, La(ClO4)3(H2O)6, Li3PO4, Na3PO4 |
1,45 | 64,69 | LaPO4, Li3PO4, La(OH)3, H11(UO2)2(PO4)5, Na(UO1.5)O2, Na4(UO2(O2)3)(H2O)9 |
2,14 | 74,42 | Li3PO4, LaPO4, La(OH)3, Li4P2O7, Na2U2O7, UO2HPO4(H2O)4, Na4(UO2(O2)3)(H2O)9 |
3,56 | 97,84 | Li3PO4, LaPO4, La(OH)3, UO2Cl2 ∙ H2O, KPO3 |

Рисунок 7 - Результаты: а – рентгенофазового анализа, б – гранулометрического анализа, в – ИК-спектроскопии, г – спектроскопии КРС частиц осадков, полученных из расплава на основе LiCl–KCl
Примечание: в зависимости от мольного отношения PO43- : (Ba2+ + La3+ + UO22+): 1 – 0,29; 2 – 0,60; 3 – 0,88; 4 – 1,15; 5 – 1,75; 6 – 2,93
Таблица 6 - Влияние избытка Na3PO4 на полноту осаждения ионов бария, лантана и уранила из расплава на основе LiCl–KCl, 550оС
Мольное отношение PO43- : (Ва2+ + La3+ + UO22+) | Степень осаждения, % | Фазовый состав осадка |
0,29 | 44,01 | Ba2P6O17, LaPO4(мон.), Na2U2O7 |
0,60 | 70,33 | LaPO4(мон.), Ba2P6O17, BaU2O7, K2H4(HPO3)3, Li3PO4, |
0,88 | 70,43 | BaU2O7, KUO3, LaPO4(мон.), K2H4(HPO3)3, Li3PO4, Ba2P6O17 |
1,15 | 68,56 | LaPO4(мон.), BaU2O7, K2H4(HPO3)3, Li3PO4, Ba2P6O17 |
1,75 | 72,05 | LaPO4(мон.), K2H4(HPO3)3, Li3PO4, Ba2P6O17, KUO3, Na2U2O7, Na2UO4, K2UO4 |
2,93 | 92,97 | K2H4(HPO3)3, LaPO4(мон.), Li3PO4, Ba2P6O17, Na2UO4, K2UO4 |
4. Заключение
Взаимодействие фосфата натрия с хлоридными расплавами, содержащими ионы уранила, лантана и стронция или бария приводит к образованию малорастворимых в хлоридном расплаве соединений. При низких значениях мольного отношения PO43– : (Ba2+/Sr2+ + La3+ + UO22+) реакция приводит к образованию простых фосфатов стронция, бария и лантана Mex(PO4)y. Уран образует уранаты натрия, щелочноземельных металлов или смешанные уранаты натрия и лантана. При высоких значениях мольного отношения фосфата к осаждаемым металлам образуются смешанные фосфаты сложного состава, за исключением расплавов на основе эвтектической смеси LiCl–KCl, в которых избыток фосфата связывается в малорастворимый фосфат лития, что препятствует образованию фаз сложных фосфатов.
Установлены значения МО, при которых достигается полное совместное осаждение щелочноземельных элементов, РЗЭ и урана (Sr2+/Ba2+ + La3+ + UO22+), из расплавов на основе NaCl–KCl, NaCl–KCl–CsCl и LiCl–KCl. Определён состав основных фаз образующихся при этом фосфатов.
Полученные данные о размерах частиц фосфатных осадков показывают, что в ходе реакции образуются частицы размером 0,1-100 мкм.
