Оценка тренда изменения водности рек на территории Республики Татарстан
Оценка тренда изменения водности рек на территории Республики Татарстан
Аннотация
Исследования речных систем, проводившиеся в течение последних двадцати лет в рамках реализации комплексной научной программы, направленной на изучение условий и характера формирования поверхностного стока на территории Республики Татарстан, демонстрируют выраженные и, в ряде случаев, устойчивые изменения водности руслового стока притоков Куйбышевского водохранилища и реки Кама. Различные колебания величин стока в межгодовом и сезонном разрезе являются допустимыми и могут быть объяснены преобладанием тех или иных гидрометеорологических факторов в определённые годы. Однако наличие многолетних и пространственно репрезентативных рядов наблюдений, обработанных с применением специализированного программного инструментария Автоматизированной системы оценки водных ресурсов, предоставляет уникальную возможность выявления общего тренда изменений водности как на локальном, так и на региональном уровне.
1. Введение
Применение интегральных аналитических показателей — таких как расходы воды в устьях рек в меженные периоды и значения модуля подземного питания, формирующегося в пределах отдельных бассейновых пространств, — позволяет не только охарактеризовать текущие условия водности, но и выявлять нестандартные, порой беспрецедентные гидрологические явления. Так, зафиксированное 60-кратное увеличение водности дренажных притоков рек Шешма и Степной Зай представляет собой яркий пример значительных изменений, происходящих в региональной речной сети под воздействием как природных, так и антропогенных факторов . Проведённые за последние 15 лет масштабные исследования более чем 5000 речных бассейнов республики позволяют с высокой степенью достоверности утверждать, что малые (длиной менее 5 км) коренные водотоки постепенно исчезают. Мы связываем это с процессами перераспределения подземного стока, вызванного подпором крупных водохранилищ, который, в свою очередь, приводит к передислокации грунтовых и артезианских водоносных горизонтов. В то же время более крупные реки, тальвеги которых прорезают базис эрозии, демонстрируют устойчивую тенденцию к увеличению водности , .
Наличие в базе данных автоматизированной системы оценки водных ресурсов достаточного массива цифровой информации, включающей как натурные показатели измеренных и расчётных расходов воды, так и данные гидрометеорологической сети УГМС Республики Татарстан, позволяет применять статистически обобщённые характеристики для анализа многолетних изменений. Особенно важно это в условиях фиксирующегося на протяжении последних десятилетий тренда глобального и регионального потепления климата, которое оказывает прямое влияние на формирование водности рек. С этой целью в анализ были включены ряды наблюдений длительностью более 25 лет , , .
Работа направлена на комплексную оценку многолетних изменений водности рек Республики Татарстан с использованием интегральных гидрологических показателей, что позволяет выявить тенденции трансформации речной сети под воздействием природных и антропогенных факторов в условиях изменения климата.
2. Материалы и методы исследования
Для детального исследования вклада метеорологических условий в процессы формирования руслового стока в качестве объектов были выбраны реки с наиболее непрерывными и достоверными метеорологическими и гидрологическими наблюдениями: Малый Черемшан (длина русла — 188,1 км, код ГВР 11010000412112100005084), Шешма (длина — 234,1 км, код ГВР 11010000212112100003525) и Свияга (длина — 377,4 км, код ГВР 08010400712112100001968) , , .
Исходными послужили данные с гидро- и метеопостов УГМС за 88 лет с 1934 г. по 2022 г. Для исключения случайной составляющей в динамике изменений применялась скользящая медиана за 31 год со смещением на 10 лет. Использовались данные по суммарным су точным осадкам: зимний период вместе с периодом половодья — за ноябрь, декабрь предыдущего года и январь-апрель текущего года, летне-осенний период — май-октябрь, летняя межень — август. Для контроля использовались среднегодовые расходы и данные по среднемесячным расходам: за апрель — как основной месяц половодья и август — межени. Для более точного автоматического выделения периода половодья и получения суммарного посуточного расхода за весь период половодья и оценки его водности использовались величины среднесуточных расходов воды . Существенное затруднение представляет ограниченность и прерывистость наблюдений на отдельных метеостанциях. Наиболее информативным в этом отношении является пост в г. Елабуга (код 28506), функционирующий с 1959 года и предоставляющий данные за 66 лет. Для восполнения недостающих участков временных рядов были использованы сведения с постов г. Казань (код 27595) и н.п. Чулпаново Нурлатского муниципального района (код 28704). Что касается гидропостов, то анализ включал посты Слобода Петропавловская (код 77179) и Кичуй — Утяшкино (код 77189) по бассейну р. Шешма, Абалдуевка (код 77217) по р. Малый Черемшан, а также Вырыпаевка (код 77140) — по бассейну р. Свияга, удалённому от основных объектов.
В результате выполненного анализа были получены информативные графики, наглядно отражающие долгосрочные изменения в структуре и объёмах водности рассматриваемых речных систем, что позволяет сделать обоснованные выводы о пространственно-временных тенденциях гидрологических процессов на территории Татарстана.
3. Основные результаты
По посту Слобода Петропавловская медианы суммарных посуточных расходов за весь период половодья для последних двух периодов составляет 0.123 км³ (1988–1990 гг., 1992 г., 2008–2014 гг.) и 0.074 км³ (2008–2022 гг.) за половодье. Это свидетельствует о снижении водности весеннего стока. При этом наблюдается существенный прирост расходов воды в межень, а также менее выраженный, но устойчивый прирост среднегодовых расходов. Среднесуточные расходы в апреле, приходящемся на активную фазу половодья, демонстрируют тенденцию к снижению. Это, в свою очередь, вызывает перераспределение месячных долей расходов воды, когда весенний максимум теряет своё доминирующее значение (рис. 1).

Рисунок 1 - Графики приращения для р. Шешма:
а - меженных и среднегодовых расходов воды; б - расходов периода половодья; в - долей расходов воды по месяцам

Рисунок 2 - Графики приращения для р. Кичуй:
а - меженных и среднегодовых расходов воды; б - расходов периода половодья; в - долей расходов воды по месяцам

Рисунок 3 - Графики приращения для р. Малый Черемшан:
а - меженных и среднегодовых расходов воды; б - расходов периода половодья; в - долей расходов воды по месяцам; г - объёмов воды за период половодья

Рисунок 4 - Графики приращения для р. Свияга:
а - меженных и среднегодовых расходов воды; б - расходов периода половодья; в - долей расходов воды по месяцам; г - объёмов воды за период половодья

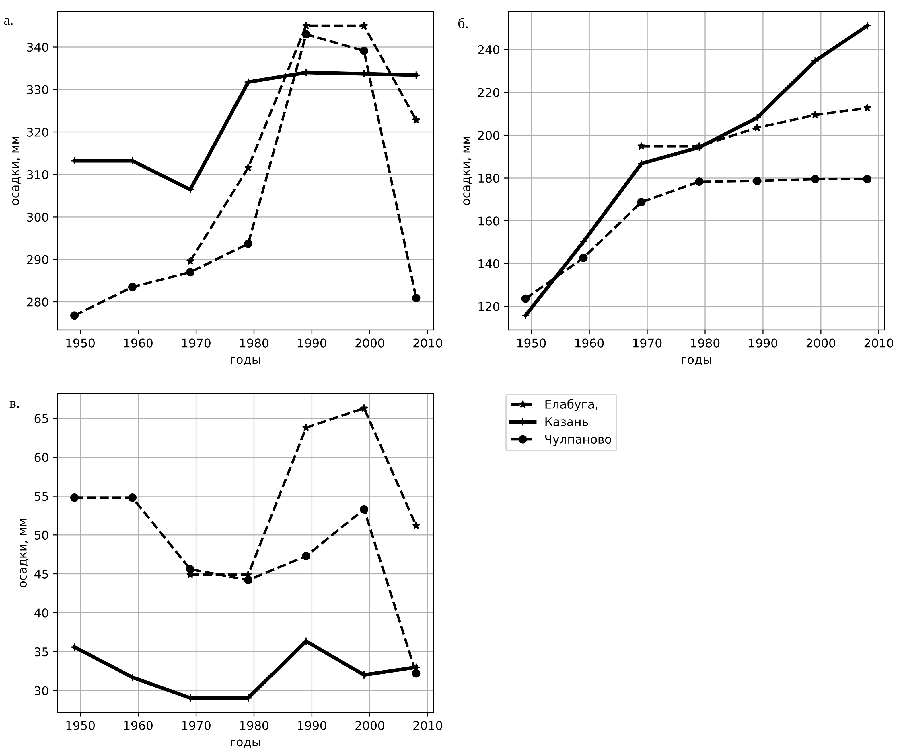
Рисунок 5 - Графики медиан выпадения осадков:
а - летний период (май-октябрь); б - зимний период (ноябрь-апрель); в - межень (август)
4. Заключение
На всех исследуемых бассейнах объём половодья и вклад половодья в общегодовой сток снижаются. Несмотря на некоторое увеличение осадков в зимний период, при практически сохранившихся объёмах осадков в межень, расходы в межень увеличиваются. Изменения могут быть связаны с уменьшением промерзания почвы в зимний период, что приводит к уменьшению поверхностного стока в половодье. Увеличение просачивания воды осадков зимнего периода увеличивает долю подземного питания рек Республики Татарстан. Более сильное колебание подземного питания в межень в бассейне р. Шешма, возможно, связано с дополнительным антропогенным воздействием.
Метод скользящей медианы показывает реальную картину изменения стока и подтверждает наличие явления потепления климата.
